Ophthalmic trainees have reported limited exposure and low confidence regarding the management of cataract complications such as posterior capsule rupture (PCR) / vitreous loss (VL). This report evaluates the impact of a simulation-based educational training event on these concerns.
Introduction
Ophthalmic simulation training has been shown to result in safer cataract surgery outcomes, with demonstratable lower rates of posterior capsule rupture / vitreous loss (PCR / VL) for junior trainees [1]. Familiarity with surgical steps through repetitive simulation practice enables trainees to be competent in the operating theatre, and so ensures confidence [2].
While these concepts have been demonstrated with trainees performing routine surgical tasks in cataract surgery, they have not been explored with the management of surgical complications.
Clinical governance studies have identified low PCR / VL rates as an indicator of surgical competence, although this metric requires risk stratification adjustment if it is to be applied fairly and in context. Modern cataract surgery techniques have a low incidence of PCR / VL, often quoted as 1.92%, with a higher rate in specialty registrars compared to consultants (adjusted odds ratio 1.6) [3,4]. In a national trainee survey in 2021, only 50% of senior trainee ophthalmic registrars (ST6 and above) felt confident with managing PCR independently without senior support [5]. Furthermore, management of PCR / VL can require specific surgical skills and techniques which are not commonly used in routine cataract surgery, such as familiarity with 3-piece IOL usage or corneal wound suturing [6]. Lacking experience and exposure to these techniques can further contribute to low levels of competence and confidence amongst trainees. This is a patient safety issue, with a modern generation of ophthalmic trainees potentially having a gap in their knowledge and experience as they approach completion of ophthalmic surgical training.To address this, we wished to evaluate the impact of a simulation-based ‘vitreous loss fire drill’ educational event on these concerns.

Figure 1: Participant pre and post survey questions for vitreous loss fire drill simulation training.
Methods
A mandatory educational vitreous loss fire drill was arranged for ophthalmic trainees in the West of Scotland region, including a pre-course knowledge transfer video and four practical simulation stations, including performing an anterior vitrectomy in a model eye, loading and inserting a 3-piece IOL, corneal cataract wound suturing, and communication skills training and debriefing. A pre- and post-course questionnaire of self-reported competence and confidence related to these tasks was undertaken (Likert scale 1-10 / see Figure 1). Junior registrars were defined as ST1-ST3 and senior registrars as ST4 and above. Statistical analysis was performed, and significance was determined using the Wilcoxon signed ranks test. The Scientific Officer for the West of Scotland Research Ethics Service confirmed that NHS ethical review was not required as it was a training exercise within the participants’ professional role.
Results
Twenty-eight ophthalmic trainees participated in October 2022 (mean age 30 years (range 26-36); 15 male and 13 female). There were 14 junior trainees (four ST1, six ST2, four ST3) and 14 senior trainees (seven ST4, four ST5, one ST6, two ST7). All trainees completed the pre- and post-course questionnaire. Before participating in the PCR / VL fire drill, all trainees self-reported greater confidence and competence with corneal cataract wound suturing compared to anterior vitrectomy and 3-piece IOL usage. All junior trainees (ST1-3) self-reported low scores (<6) in confidence and competence in all the pre-course questions.
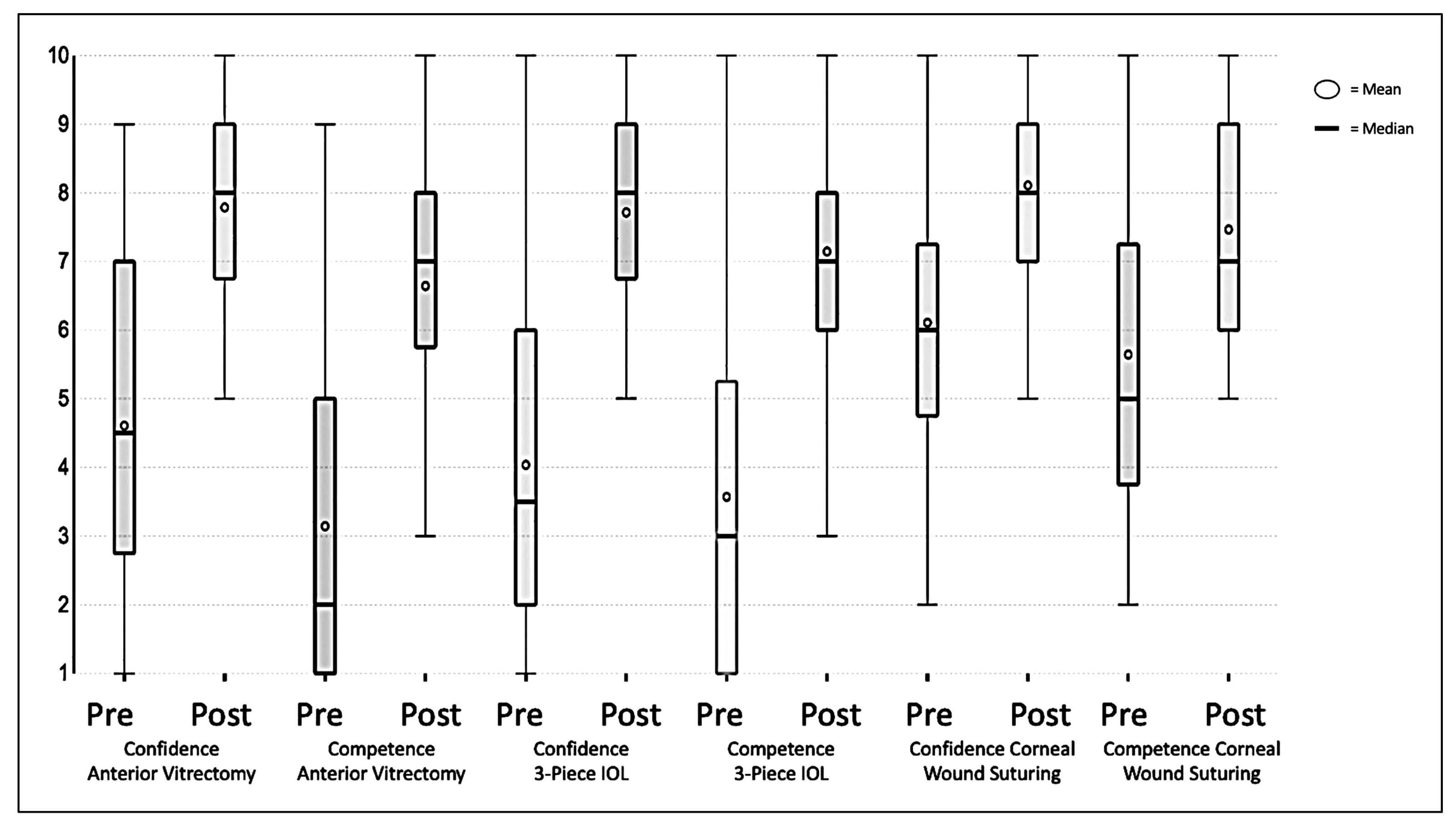
All participants reported significant improvements in competence and confidence following the PCR / VL fire drill training. Competence for technical skills was reported to have improved (with anterior vitrectomy techniques increasing from a median of 2 pre-course to 7 post-course (p<0.00001); with 3-piece IOL insertion techniques (median 3 to 7; p<0.00001) and with corneal cataract wound suturing (median 5 to 7; p<0.00001)).

Figure 2: Box and Whisker Graph showing confidence and competence scores
for all trainees before and after the vitreous loss fire drill simulation training.
Confidence levels were also reported to improve for all trainees following the educational session, including with performing anterior vitrectomy (from a median of 4.5 pre-course to 8 post-course; p<0.00001); 3-piece IOL techniques (3.5 to 8; p<0.00001) and corneal wound suturing (6 to 8; p<0.00001) (see Figure 2).
Subgroup analysis revealed that junior trainees reported greater mean improvements compared to senior trainees. These differences were statistically significant for competence with 3-piece IOL insertion techniques (4.4 for juniors vs. 2.7 for seniors (p=0.02)) and with corneal cataract wound suturing (2.62 juniors vs. 1.14 seniors (p=0.03)), but not for self-reported improvements in competence with anterior vitrectomy techniques (mean 4.1 juniors vs. 3.1 seniors (p=0.13)). The mean improvements in all confidence scores were all statistically significant for juniors compared to seniors (anterior vitrectomy techniques - 3.9 juniors vs. 2.5 seniors (p=0.003); 3-piece IOL insertion techniques - 4.7 juniors vs. 2.7 seniors (p=0.008); and with corneal cataract wound suturing - 2.8 juniors vs. 1.2 seniors (p=0.01)).
Discussion
The purpose of a fire drill is to ensure familiarity with emergency procedures to increase the likelihood of a safer outcome from a high-risk situation. In modern cataract surgery, dealing with the uncommon but predictable complication of PCR / VL effectively should still result in a good visual outcome. To achieve this, PCR / VL needs to be correctly managed with the appropriate equipment available, as inappropriate surgical manoeuvres increases the risk of further consequences such as endophthalmitis (x8) and retinal detachment (x42) [4]. For this reason, having an ‘AntVitKit’ readily available should mean minimal delay or confusion regarding the location of an anterior vitrector, triamcinolone, acetylcholine and a 10-0 suture to address PCR / VL competently [7].
We have shown that a PCR / VL fire drill educational simulation-based event improves trainee surgical competence and confidence in these expected surgical tasks, and so reduced concerns through providing a knowledge base and relevant technical experience. Greater improvements in competence and confidence were reported for the less-commonly experienced tasks of insertion of 3-piece IOLs and anterior vitrectomy techniques, however these metrics also increased with corneal wound suturing. This was likely due to greater familiarity with corneal suturing amongst participants, a skill which is taught on the basic micro-surgical skills courses undertaken by first year ophthalmic trainees.
It was encouraging to note that greater competence in all these surgical tasks was matched by increased confidence following this half-day educational session. Such simulation-based activities enable the development of essential skills required by the ophthalmic surgeon and could be expanded for other intra-operative surgical complications. Such events should not be limited to trainees, or run on an ad-hoc basis, but could be part of mandatory training in the future, as simulation enables safer skill transfer without any harm to patients at the point of learning [8-10]. Engaging with regular cataract complication simulation training should ensure competence and maintain confidence in the management of PCR / VL.
References
1. Ferris JD, Donachie PH, Johnston RL, et al. Royal College of Ophthalmologists’ National Ophthalmology Database study of cataract surgery: report 6. The impact of EyeSi virtual reality training on complications rates of cataract surgery performed by first and second year trainees. Br J Ophthalmol 2020;104(3):324-9.
2. Nairn J, Benjamin L, Lockington D. Comment on: ‘Ophthalmology Specialist Trainee Survey in the United Kingdom’. The need to increase familiarity with the management of predictable cataract surgery complications via simulation-ensuring competence to improve confidence. Eye (Lond) 2020;34(9):1713-4.
3. Narendran N, Jaycock P, Johnston RL, et al. The Cataract National Dataset electronic multicentre audit of 55 567 operations: risk stratification for posterior capsule rupture and vitreous loss. Eye 2009;23(1):31-7.
4. Day AC, Donachie PH, Sparrow JM, et al. The Royal College of Ophthalmologists’ National Ophthalmology Database study of cataract surgery: report 1, visual outcomes and complications. Eye (Lond) 2015;29(4):552-60.
5. Swampillai AJ, Nowak VA, Maubon L, et al. Confidence of UK Ophthalmology Registrars in Managing Posterior Capsular Rupture: Results from a National Trainee Survey. Ophthalmol Ther 2022;11(1):225-37.
6. Guthrie S, Goudie C, Lockington D. Survey of Scottish ophthalmic trainees’ experiences using 3-piece IOLs in cataract surgery. J Cataract Refract Surg 2018;44(3):409.
7. Lockington D, Belin M, McGhee CNJ. The need for all cataract surgeons to run a regular vitreous loss fire drill. Eye (Lond) 2017;31(8):1120-1.
8. Wood TC, Maqsood S, Sancha W, et al. Principles of simulation and their role in enhancing cataract surgery training. Eye (Lond) 2022;36(8):1529-31.
9. Campbell S, Hind J, Lockington D. Engagement with ophthalmic simulation training has increased following COVID-19 disruption-the educational culture change required? Eye (Lond) 2021;35(10):2660-1.
10. Lockington D, Saleh GM, Spencer AF, Ferris J. Cost and time resourcing for ophthalmic simulation in the UK: a Royal College of Ophthalmologists’ National Survey of regional Simulation Leads in 2021. Eye (Lond) 2022;36(10):1973-6.
Declaration of competing interests: None declared.
Acknowledgements: We would like to thank Vicky Kerins (Bausch & Lomb), Tony Tsang (Johnson & Johnson) and Jim Innes (Hull) for their support and assistance with running this vitreous loss fire drill in Glasgow.
COMMENTS ARE WELCOME

