Search
Contact
Advertise
Contribute
Login
Contact
Advertise
Contribute
Search
Subspecialities
Cataract
Cornea
Glaucoma
Imaging
Neuro-ophthalmology
Oculoplastic
Oncology
Orbit
Paediatrics
Pathology
Refractive
Strabismus
Vitreo-Retinal
News
Events
Education Nav
Research Nav
Professional
Product Guide
The Magazine
Login
Search
Mostafa Khalil
Test RTE for PersonPage items.
Mostafa Khalil
Specialty Registrar in Ophthalmology
Tennent Institute of Ophthalmology, Gartnavel General Hospital, Glasgow, UK.
Latest Contributions
Mostafa Khalil
,
Chloe Shipton
,
Artemis Trochanis
,
Alan Rotchford
,
David Lockington
ยท
4th December 2023
Education
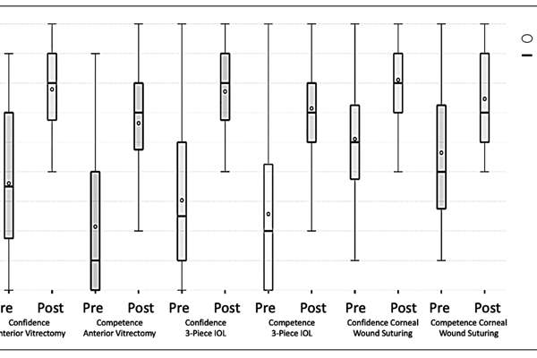
Case Reports
Vitreous loss fire drills – ophthalmic simulation improves trainee surgical competence and confidence with posterior capsule rupture scenarios